為了保證陽光板和耐力板能有抗紫外線能力,我們必須在板材上共擠出上一層50微米厚的防紫外線聚碳酸酯。這個50μm的厚度值需要乘上1.5以補償在垂直邊上出現的流延現象,因此理論厚度應該是75μm。
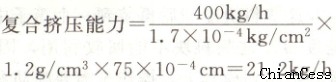
我們用下面的公式來計算共擠出的能力:

例如,聚碳酸酯密度為1.2g/cm3,生產線能力為400kg/h,板材重1.7kg/m2-1.7×10-4kg/cm2,紫外線防護層厚度為75μm=75×10-4cm,則:

為了將擠出能力從kg/h轉換到轉速,需要知道1h的共擠出機的能力,這最好在開始生產之前進行核實。實踐中我們知道共擠出機OM 35在規定的溫度曲線下,其能力大約為250(g/h)/(r/min),在該情況下需要能力為21.2kg/h。可以按下面的方法計算出共擠出機的轉速:
轉速=21.2kg/h÷250(g/h)/(r/.min)-84.8r/min
在啟動道程中,我們的共擠出機需要設置在84.8r/min。
當所有必須的參數都已設置好,就可以進行啟動操作了。